Curva Tensão X Deformação do Solo - Entenda o que é, e como calcular a curva
A história de duas valas iguais… que não eram tão iguais assim
Imagine a seguinte situação...
Em um município do interior, duas equipes diferentes precisavam executar valas profundas para passagem de redes de esgoto.
O solo parecia o mesmo.
A profundidade era a mesma.
A solução projetada também.
Mas teve um detalhe:
apenas uma equipe analisou a curva tensão × deformação do solo antes de iniciar o escoramento.
O que aconteceu?
➡ Na primeira obra, o solo deformou muito mais rápido do que o previsto.
➡ A contenção cedeu alguns centímetros.
➡ Surgiram recalques, retrabalho e dias de atraso.
Na segunda obra, onde a curva foi analisada, a contenção foi dimensionada com rigidez compatível.
Não apresentou movimentações.
A escavação ficou estável desde o primeiro metro.
O que essa curva diz, afinal?
De forma simples:- Tensão é a força que o solo recebe.
- Deformação é o quanto ele “cede” com essa força.
- A curva mostra o comportamento real do solo conforme ele é solicitado.
✔ quão rápido o solo perde rigidez
✔ quando começa a deformar de forma perigosa
✔ quanto empuxo ele realmente transmite à contenção ✔ qual solução deve ser usada (Estaca Metálica, PVC, Blindagem, Slide Rail etc.)
✔ qual rigidez o sistema precisa ter para evitar movimentações
Ou seja: ela muda totalmente o dimensionamento de obras como valas, taludes, estações elevatórias e travessias profundas.
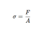
Como calcular a tensão aplicada (σ)
A tensão é calculada por:
Onde:- F = força aplicada
- A = área da seção do corpo de prova
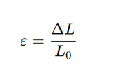
Como calcular a deformação (ε)
A deformação axial é:
Onde:
- L₀ = comprimento inicial do corpo de prova
- ΔL = variação de comprimento (encurtamento quando comprimido)
Por que estes cálculos são importantes em projetos de Contenção, Escoramento e Fundação?
A Curva Tensão × Deformação está por trás de decisões como:- Qual estaca usar (U, Z, W, PVC…)?
- Qual espessura/resistência é necessária?
- Qual é o empuxo causado na contenção?
- Qual sistema atende melhor: Blindagem? Slide Rail? Estacas Metálicas?
Entre em contato conosco e veja como suas obras podem ser mais rápidas e seguras.
COMENTÁRIOS
